
支持7-11 全家超商取貨 貨到付款






粒子物理學中的規範理論實用導論 第1卷 第4版 [Gauge Theories in Particle Physics]
編輯推薦
《粒子物理學中的規範理論實用導論 第1卷 第4版》是粒子物理學的名著,全面介紹了從相對論量子力學到標準模型前沿(如希格斯粒子、中微子振盪等)的各種主題,書中還納入了大量的實驗結果,使理論更為具象。本書作者之一是英國皇家工程院院士。
內容簡介
《粒子物理學中的規範理論實用導論》對粒子物理學標準模型中包含的三種規範理論--量子電動力學(QED)、量子色動力學(QCD)和Glashow-Salam-Weinberg (GSW) 電弱理論做了深入講解。書中對每一種理論都討論了主要的概念要點,詳細介紹了從第一原理出發的物理量的許多實際計算,並將這些定量預測與實驗結果進行了比較,幫助讀者提高計算能力和物理洞察力。
本書是兩卷集的第1卷,新版除了更新了粒子物理相關實驗結果的數據,還新增了關於洛倫茲變換和離散對稱的章節,介紹了對狄拉克旋量的洛倫茲變換,此外新版中還很早地就引入了馬約拉納費米子,使該材料適用於相對論量子力學的入門課程。
作者簡介
伊恩·艾奇森 (Ian J.R. Aitchison)是英國物理學家,牛津大學教授,他也是美國SLAC國家加速器實驗室、羅切斯特大學、華盛頓大學和歐洲核子研究中心的客座研究員/教授。他還著有《相對論量子力學》(Relativistic Quantum Mechanics),《規範場論入門》(An Informal Introduction to Gauge Field Theories),《粒子物理學中的超對稱性》(Supersymmetry in Particle Physics)等著作。
安東尼·海伊 (Anthony J.G. Hey)是微軟研究院學術合作部副總裁,負責微軟公司的全球外部合作研究和技術計算戰略。他是英國皇家工程院院士,也是英國物理學會(IOP)、英國計算機學會(BCS)、國際工程技術學會(IET)和國際計算機學會(ACM)的傑出會士。
目錄
Preface
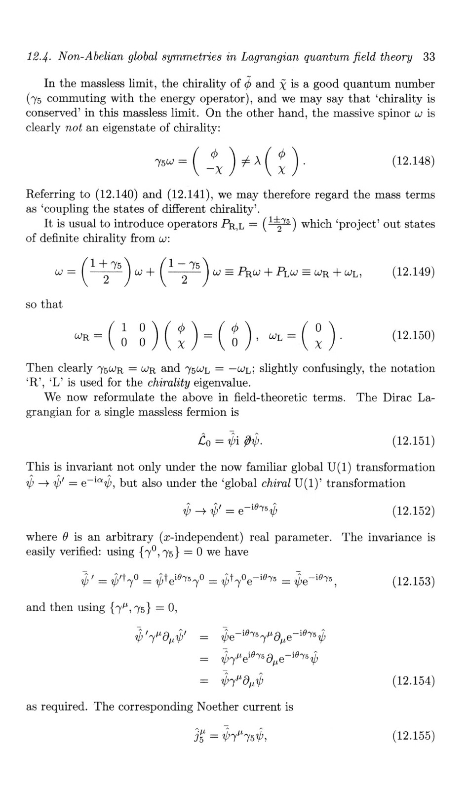
PART I. INTRODUCTORY SURVEY, ELECTROMAGNETISM AS A GAUGE THEORY, AND RELATIVISTIC QUANTUM MECHANICS
1. The Particles and Forces of in the Standard Model
2. Electromagnetism as a Gauge Theory
3. Relativistic Quantum Mechanics
4. Lorentz Transformations and Discrete Symmetries
PART II. INTRODUCTION TO QUANTUM FIELD THEORY
5. Quantum Field Theory I: The Free Scalar Field
6. Quantum Field Theory II: Interacting Scalar Fields
7. Quantum Field Theory III: Complex Scalar Fields, Dirac and Maxwell Fields; Introduction of Electromagnetic Interactions
PART III. TREE-LEVEL APPLICATIONS IN QED
8. Elementary Processes in Scalar and Spinor Electrodynamics
9. Deep Inelastic Electron-Nucleon Scattering and the Parton Model
PART IV. LOOPS AND RENORMALIZATION
10. Loops and Renormalization I: The ABC Theory
11. Loops and Renormalization II: QED
APPENDIX A. Non-Relativistic Quantum Mechanics
APPENDIX B. Natural Units
APPENDIX C. Maxwell's Equations: Choice of Units
APPENDIX D. Special Relativity: Invariance and Covariance
APPENDIX E. Dirac Delta-Function
APPENDIX F. Contour Integration
APPENDIX G. Green Functions
APPENDIX H. Elements of Non-Relativistic Scattering Theory
APPENDIX I. The Schr?dinger and Heisenberg Pictures
APPENDIX J. Dirac Algebra and Trace Identities
APPENDIX K. Example of a Cross Section Calculation
APPENDIX L. Feynman Rules for Tree Graphs in QED
References
內頁插圖





粒子物理學中的規範理論實用導論 第2卷 第4版 [Gauge Theories in Particle Physics: A Practical Introduction, Volume 2,4th Edition]
編輯推薦
本書是粒子物理學的名著,全面介紹了從相對論量子力學到標準模型前沿(如希格斯粒子、中微子振盪等)的各種主題,書中還納入了大量的實驗結果,使理論更為具象。本書作者之一是英國皇家工程院院士。
內容簡介
《粒子物理學中的規範理論實用導論》對粒子物理學標準模型中包含的三種規範理論--量子電動力學(QED)、量子色動力學(QCD)和Glashow-Salam-Weinberg (GSW) 電弱理論做了深入講解。書中對每一種理論都討論了主要的概念要點,詳細介紹了從第一原理出發的物理量的許多實際計算,並將這些定量預測與實驗結果進行了比較,幫助讀者提高計算能力和物理洞察力。
本書是兩卷集的第2卷,書中涵蓋了過去十年中取得的大部分實驗進展,並新增了關於CP破壞和中微子振蕩的新章節,此外新版中討論了zuixin實驗發現的希格斯粒子,還對包括射流算法、晶格QCD、有效拉格朗日量、三代夸克混合和CKM矩陣在內的諸多主題進行了更新。
作者簡介
伊恩·艾奇森 (Ian J.R. Aitchison)是英國物理學家,牛津大學教授,他也是美國SLAC國家加速器實驗室、羅切斯特大學、華盛頓大學和歐洲核子研究中心的客座研究員/教授。他還著有《相對論量子力學》(Relativistic Quantum Mechanics),《規範場論入門》(An Informal Introduction to Gauge Field Theories),《粒子物理學中的超對稱性》(Supersymmetry in Particle Physics)等著作。
安東尼·海伊 (Anthony J.G. Hey)是微軟研究院學術合作部副總裁,負責微軟公司的全球外部合作研究和技術計算戰略。他是英國皇家工程院院士,也是英國物理學會(IOP)、英國計算機學會(BCS)、國際工程技術學會(IET)和國際計算機學會(ACM)的傑出會士。
目錄
Preface
PART V. NON-ABELIAN SYMMETRIES
12. Global Non-Abelian Symmetries
13. Local Non-Abelian (Gauge) Symmetries
PART VI. QCD AND THE RENORMALIZATION GROUP
14. QCD I: Introduction, Tree-Graph Predictions, and Jets
15. QCD II: Asymptotic Freedom, the Renormalization Group, and Scaling Violations
16. Lattice Field Theory and the Renormalization Group Revisited
PART VII. SPONTANEOUSLY BROKEN SYMMETRY
17. Spontaneously Broken Global Symmetry
18. Chiral Symmetry Breaking
19. Spontaneously Broken Local Symmetry
PART VIII. WEAK INTERACTIONS AND THE ELECTROWEAK THEORY
20. Introduction to the Phenomenology of Weak Interactions
21. CP Violation and Oscillation Phenomena
22. The Glashow-Salam-Weinberg Gauge Theory of Electroweak Interactions
APPENDIX M. Group Theory
APPENDIX N. Geometrical Aspects of Gauge Fields
APPENDIX O. Dimensional Regularization
APPENDIX P. Grassmann Variables
APPENDIX Q. Feynman Rules for Tree Graphs in QCD and the Electroweak Theory
References
內頁插圖




桃園孫**[0988***855]
半小時前【新書推薦】粒子物理學中的規範理論實用導論(套裝):第1卷+第2卷 第4版 - 【新書推薦】粒子物理學中的規範理論實用導論(套裝共2冊):第1卷+第2卷 第4版
臺南方**[0988***270]
15分鐘前【新書推薦】粒子物理學中的規範理論實用導論(套裝):第1卷+第2卷 第4版 - 【新書推薦】粒子物理學中的規範理論實用導論(套裝共2冊):第1卷+第2卷 第4版
臺北吳**[0956***986]
2分鐘前【新書推薦】粒子物理學中的規範理論實用導論(套裝):第1卷+第2卷 第4版 - 【新書推薦】粒子物理學中的規範理論實用導論(套裝共2冊):第1卷+第2卷 第4版
新北謝**[0951***156]
12分鐘前【新書推薦】粒子物理學中的規範理論實用導論(套裝):第1卷+第2卷 第4版 - 【新書推薦】粒子物理學中的規範理論實用導論(套裝共2冊):第1卷+第2卷 第4版
新竹陳**[0988***865]
半小時前【新書推薦】粒子物理學中的規範理論實用導論(套裝):第1卷+第2卷 第4版 - 【新書推薦】粒子物理學中的規範理論實用導論(套裝共2冊):第1卷+第2卷 第4版
臺中孫**[0986***101]
半小時前【新書推薦】粒子物理學中的規範理論實用導論(套裝):第1卷+第2卷 第4版 - 【新書推薦】粒子物理學中的規範理論實用導論(套裝共2冊):第1卷+第2卷 第4版
嘉義陳**[0933***861]
12分鐘前【新書推薦】粒子物理學中的規範理論實用導論(套裝):第1卷+第2卷 第4版 - 【新書推薦】粒子物理學中的規範理論實用導論(套裝共2冊):第1卷+第2卷 第4版
基隆鄭**[0988***305]
25分鐘前【新書推薦】粒子物理學中的規範理論實用導論(套裝):第1卷+第2卷 第4版 - 【新書推薦】粒子物理學中的規範理論實用導論(套裝共2冊):第1卷+第2卷 第4版
高雄仲**[0951***442]
7分鐘前【新書推薦】粒子物理學中的規範理論實用導論(套裝):第1卷+第2卷 第4版 - 【新書推薦】粒子物理學中的規範理論實用導論(套裝共2冊):第1卷+第2卷 第4版
新北陳**[0986***234]
12分鐘前【新書推薦】粒子物理學中的規範理論實用導論(套裝):第1卷+第2卷 第4版 - 【新書推薦】粒子物理學中的規範理論實用導論(套裝共2冊):第1卷+第2卷 第4版
新北吳**[0966***943]
5分鐘前【新書推薦】粒子物理學中的規範理論實用導論(套裝):第1卷+第2卷 第4版 - 【新書推薦】粒子物理學中的規範理論實用導論(套裝共2冊):第1卷+第2卷 第4版
臺北鍾**[0978***365]
15分鐘前【新書推薦】粒子物理學中的規範理論實用導論(套裝):第1卷+第2卷 第4版 - 【新書推薦】粒子物理學中的規範理論實用導論(套裝共2冊):第1卷+第2卷 第4版
新北謝**[0938***812]
7分鐘前【新書推薦】粒子物理學中的規範理論實用導論(套裝):第1卷+第2卷 第4版 - 【新書推薦】粒子物理學中的規範理論實用導論(套裝共2冊):第1卷+第2卷 第4版
臺中符**[0918***262]
2分鐘前【新書推薦】粒子物理學中的規範理論實用導論(套裝):第1卷+第2卷 第4版 - 【新書推薦】粒子物理學中的規範理論實用導論(套裝共2冊):第1卷+第2卷 第4版
臺中周**[0998***118]
12分鐘前【新書推薦】粒子物理學中的規範理論實用導論(套裝):第1卷+第2卷 第4版 - 【新書推薦】粒子物理學中的規範理論實用導論(套裝共2冊):第1卷+第2卷 第4版
高雄仲**[0938***297]
11分鐘前【新書推薦】粒子物理學中的規範理論實用導論(套裝):第1卷+第2卷 第4版 - 【新書推薦】粒子物理學中的規範理論實用導論(套裝共2冊):第1卷+第2卷 第4版
臺北鄭**[0960***853]
7分鐘前【新書推薦】粒子物理學中的規範理論實用導論(套裝):第1卷+第2卷 第4版 - 【新書推薦】粒子物理學中的規範理論實用導論(套裝共2冊):第1卷+第2卷 第4版
基隆劉**[0966***886]
7分鐘前【新書推薦】粒子物理學中的規範理論實用導論(套裝):第1卷+第2卷 第4版 - 【新書推薦】粒子物理學中的規範理論實用導論(套裝共2冊):第1卷+第2卷 第4版
桃園符**[0932***395]
12分鐘前【新書推薦】粒子物理學中的規範理論實用導論(套裝):第1卷+第2卷 第4版 - 【新書推薦】粒子物理學中的規範理論實用導論(套裝共2冊):第1卷+第2卷 第4版
新北仲**[0968***351]
5分鐘前【新書推薦】粒子物理學中的規範理論實用導論(套裝):第1卷+第2卷 第4版 - 【新書推薦】粒子物理學中的規範理論實用導論(套裝共2冊):第1卷+第2卷 第4版
新竹孫**[0966***842]
25分鐘前【新書推薦】粒子物理學中的規範理論實用導論(套裝):第1卷+第2卷 第4版 - 【新書推薦】粒子物理學中的規範理論實用導論(套裝共2冊):第1卷+第2卷 第4版
嘉義方**[0988***213]
4分鐘前【新書推薦】粒子物理學中的規範理論實用導論(套裝):第1卷+第2卷 第4版 - 【新書推薦】粒子物理學中的規範理論實用導論(套裝共2冊):第1卷+第2卷 第4版
臺中黃**[0968***874]
7分鐘前【新書推薦】粒子物理學中的規範理論實用導論(套裝):第1卷+第2卷 第4版 - 【新書推薦】粒子物理學中的規範理論實用導論(套裝共2冊):第1卷+第2卷 第4版
基隆孫**[0978***492]
15分鐘前【新書推薦】粒子物理學中的規範理論實用導論(套裝):第1卷+第2卷 第4版 - 【新書推薦】粒子物理學中的規範理論實用導論(套裝共2冊):第1卷+第2卷 第4版
高雄謝**[0956***157]
半小時前【新書推薦】粒子物理學中的規範理論實用導論(套裝):第1卷+第2卷 第4版 - 【新書推薦】粒子物理學中的規範理論實用導論(套裝共2冊):第1卷+第2卷 第4版
基隆鄭**[0933***921]
4分鐘前【新書推薦】粒子物理學中的規範理論實用導論(套裝):第1卷+第2卷 第4版 - 【新書推薦】粒子物理學中的規範理論實用導論(套裝共2冊):第1卷+第2卷 第4版
桃園陳**[0920***454]
25分鐘前【新書推薦】粒子物理學中的規範理論實用導論(套裝):第1卷+第2卷 第4版 - 【新書推薦】粒子物理學中的規範理論實用導論(套裝共2冊):第1卷+第2卷 第4版
臺中楊**[0920***322]
半小時前【新書推薦】粒子物理學中的規範理論實用導論(套裝):第1卷+第2卷 第4版 - 【新書推薦】粒子物理學中的規範理論實用導論(套裝共2冊):第1卷+第2卷 第4版
新北張**[0918***376]
7分鐘前【新書推薦】粒子物理學中的規範理論實用導論(套裝):第1卷+第2卷 第4版 - 【新書推薦】粒子物理學中的規範理論實用導論(套裝共2冊):第1卷+第2卷 第4版
新北陳**[0938***486]
12分鐘前【新書推薦】粒子物理學中的規範理論實用導論(套裝):第1卷+第2卷 第4版 - 【新書推薦】粒子物理學中的規範理論實用導論(套裝共2冊):第1卷+第2卷 第4版
桃園孫**[0986***519]
半小時前【新書推薦】粒子物理學中的規範理論實用導論(套裝):第1卷+第2卷 第4版 - 【新書推薦】粒子物理學中的規範理論實用導論(套裝共2冊):第1卷+第2卷 第4版
新北李**[0920***141]
11分鐘前【新書推薦】粒子物理學中的規範理論實用導論(套裝):第1卷+第2卷 第4版 - 【新書推薦】粒子物理學中的規範理論實用導論(套裝共2冊):第1卷+第2卷 第4版
嘉義柳**[0933***909]
半小時前【新書推薦】粒子物理學中的規範理論實用導論(套裝):第1卷+第2卷 第4版 - 【新書推薦】粒子物理學中的規範理論實用導論(套裝共2冊):第1卷+第2卷 第4版
基隆朱**[0951***506]
5分鐘前【新書推薦】粒子物理學中的規範理論實用導論(套裝):第1卷+第2卷 第4版 - 【新書推薦】粒子物理學中的規範理論實用導論(套裝共2冊):第1卷+第2卷 第4版
基隆李**[0966***647]
20分鐘前【新書推薦】粒子物理學中的規範理論實用導論(套裝):第1卷+第2卷 第4版 - 【新書推薦】粒子物理學中的規範理論實用導論(套裝共2冊):第1卷+第2卷 第4版
新竹鍾**[0932***389]
2分鐘前【新書推薦】粒子物理學中的規範理論實用導論(套裝):第1卷+第2卷 第4版 - 【新書推薦】粒子物理學中的規範理論實用導論(套裝共2冊):第1卷+第2卷 第4版
新北符**[0968***158]
5分鐘前【新書推薦】粒子物理學中的規範理論實用導論(套裝):第1卷+第2卷 第4版 - 【新書推薦】粒子物理學中的規範理論實用導論(套裝共2冊):第1卷+第2卷 第4版
高雄吳**[0966***501]
12分鐘前【新書推薦】粒子物理學中的規範理論實用導論(套裝):第1卷+第2卷 第4版 - 【新書推薦】粒子物理學中的規範理論實用導論(套裝共2冊):第1卷+第2卷 第4版
桃園謝**[0988***497]
20分鐘前【新書推薦】粒子物理學中的規範理論實用導論(套裝):第1卷+第2卷 第4版 - 【新書推薦】粒子物理學中的規範理論實用導論(套裝共2冊):第1卷+第2卷 第4版
臺北錢**[0918***420]
11分鐘前【新書推薦】粒子物理學中的規範理論實用導論(套裝):第1卷+第2卷 第4版 - 【新書推薦】粒子物理學中的規範理論實用導論(套裝共2冊):第1卷+第2卷 第4版
新竹朱**[0920***297]
25分鐘前【新書推薦】粒子物理學中的規範理論實用導論(套裝):第1卷+第2卷 第4版 - 【新書推薦】粒子物理學中的規範理論實用導論(套裝共2冊):第1卷+第2卷 第4版
基隆鍾**[0932***322]
5分鐘前【新書推薦】粒子物理學中的規範理論實用導論(套裝):第1卷+第2卷 第4版 - 【新書推薦】粒子物理學中的規範理論實用導論(套裝共2冊):第1卷+第2卷 第4版
新竹王**[0986***866]
20分鐘前【新書推薦】粒子物理學中的規範理論實用導論(套裝):第1卷+第2卷 第4版 - 【新書推薦】粒子物理學中的規範理論實用導論(套裝共2冊):第1卷+第2卷 第4版
新竹謝**[0966***851]
5分鐘前【新書推薦】粒子物理學中的規範理論實用導論(套裝):第1卷+第2卷 第4版 - 【新書推薦】粒子物理學中的規範理論實用導論(套裝共2冊):第1卷+第2卷 第4版
嘉義王**[0920***431]
2分鐘前【新書推薦】粒子物理學中的規範理論實用導論(套裝):第1卷+第2卷 第4版 - 【新書推薦】粒子物理學中的規範理論實用導論(套裝共2冊):第1卷+第2卷 第4版
高雄鄭**[0978***577]
7分鐘前【新書推薦】粒子物理學中的規範理論實用導論(套裝):第1卷+第2卷 第4版 - 【新書推薦】粒子物理學中的規範理論實用導論(套裝共2冊):第1卷+第2卷 第4版
臺北楊**[0966***682]
4分鐘前【新書推薦】粒子物理學中的規範理論實用導論(套裝):第1卷+第2卷 第4版 - 【新書推薦】粒子物理學中的規範理論實用導論(套裝共2冊):第1卷+第2卷 第4版
新北周**[0960***426]
15分鐘前【新書推薦】粒子物理學中的規範理論實用導論(套裝):第1卷+第2卷 第4版 - 【新書推薦】粒子物理學中的規範理論實用導論(套裝共2冊):第1卷+第2卷 第4版
基隆李**[0988***779]
15分鐘前【新書推薦】粒子物理學中的規範理論實用導論(套裝):第1卷+第2卷 第4版 - 【新書推薦】粒子物理學中的規範理論實用導論(套裝共2冊):第1卷+第2卷 第4版
臺北朱**[0918***361]
15分鐘前【新書推薦】粒子物理學中的規範理論實用導論(套裝):第1卷+第2卷 第4版 - 【新書推薦】粒子物理學中的規範理論實用導論(套裝共2冊):第1卷+第2卷 第4版

NT$1550
高中數學題型全解【函數篇+立體幾何篇+三角函數篇】全3冊

NT$1520
【高中數學思想方法導引+高中數學公式定理導引+高中數學基礎知識導引】全三冊

NT$1890
超通俗高考數學:講透【平面解析幾何+函數+集合、數列與不等式+概率統計+立體幾何】全五冊

NT$1600
幾何原本:歐幾里得原理十三卷(全三冊)

NT$2000
2024新書推薦:羅伯特 布利策:數學思維1+2+3原書第7版【邏輯與數+代數與幾何+機率、統計與圖論】全三冊

NT$3100
普林斯頓大學出版社鎮社之寶:數學與藝術(精装、超大开本,重达3公斤)

NT$1699
丘成桐的數學觀:真與美+仁者無敵面積法:巧思妙解學幾何+少年數學實驗(第2版)全三冊

NT$1500
神奇的俄羅斯數學遊戲(3本套裝 莫斯科智力遊戲+神奇的數學)

NT$1299
數學不無聊:全化繁爲簡的幾何故事+妙趣橫生的數學故事(共四冊)

NT$1600
有趣的矩陣+代數奇思+幾何妙想(全三冊)

NT$1260
趣味物理學(全二冊)

NT$1898
俄羅斯數學教材選譯:現代幾何學:方法與應用(全三冊)

NT$1950
幾何學的力量+微積分的力量+數學的力量(全三冊)

NT$1850
【世界著名平面幾何經典著作鉤沉幾:何作圖專題卷】(共三卷)

NT$2280
【天然產物生物合成:化學原理與酶學機制】

NT$3050
量子計算與量子信息/與量子比特共舞/量子計算公開課/一種應用方法

NT$2400
理論最小值:【經典力學】+【量子力學】+【量子引力】+【量子力學的真相】

NT$3300
【數學領域經典著作】基礎拓撲學/純數學教程/不等式/矩陣計算/複分析:可視化方法/伊藤清概率論

NT$4000
拉馬努金遺失筆記套裝全4卷 第1+2+3+4卷 (英文經典)

NT$1750
【量子傳】+【量子空間】+【量子世界的發現之旅】(全新塑封三冊)

NT$1145
圖靈數學系列:最後的數學問題/代數的歷史/貝葉斯的博弈/數學那些事/不可能的幾何挑戰/誰在擲骰子

NT$1785
數學建模33講+少年數學實驗(第2版)

NT$1680
程序員的數學(第2版)+概率統計+線性代數【3冊套裝】

NT$1395
【新書上市】維多利亞時代的科學傳播 : 為新觀眾“設計”自然

NT$2850
科學元典叢書:【化學系列】(套裝共5冊)

NT$2999
科學元典叢書:【天文系列】(套裝共7冊)

NT$1750
幾何瑰寶:【平面幾何500名題暨1500條定理】(全新塑封上下冊)

NT$2800
【數學物理方程及其近似方法】+【物理學中的數學方法】(全兩冊)

NT$2180
物理學之“道”:【近現代物理學與東方神秘主義】+【物理學之美】+【優雅的物理】(全新塑封三冊)

NT$2500
【量子物理學】(全新塑封上下冊)